铭鸿体育资讯网
合肥市2026届高三二模数学试卷及答案,这次大题比较另类,概率、导数...
2026-04-25 00:43:44
数学一施
教育
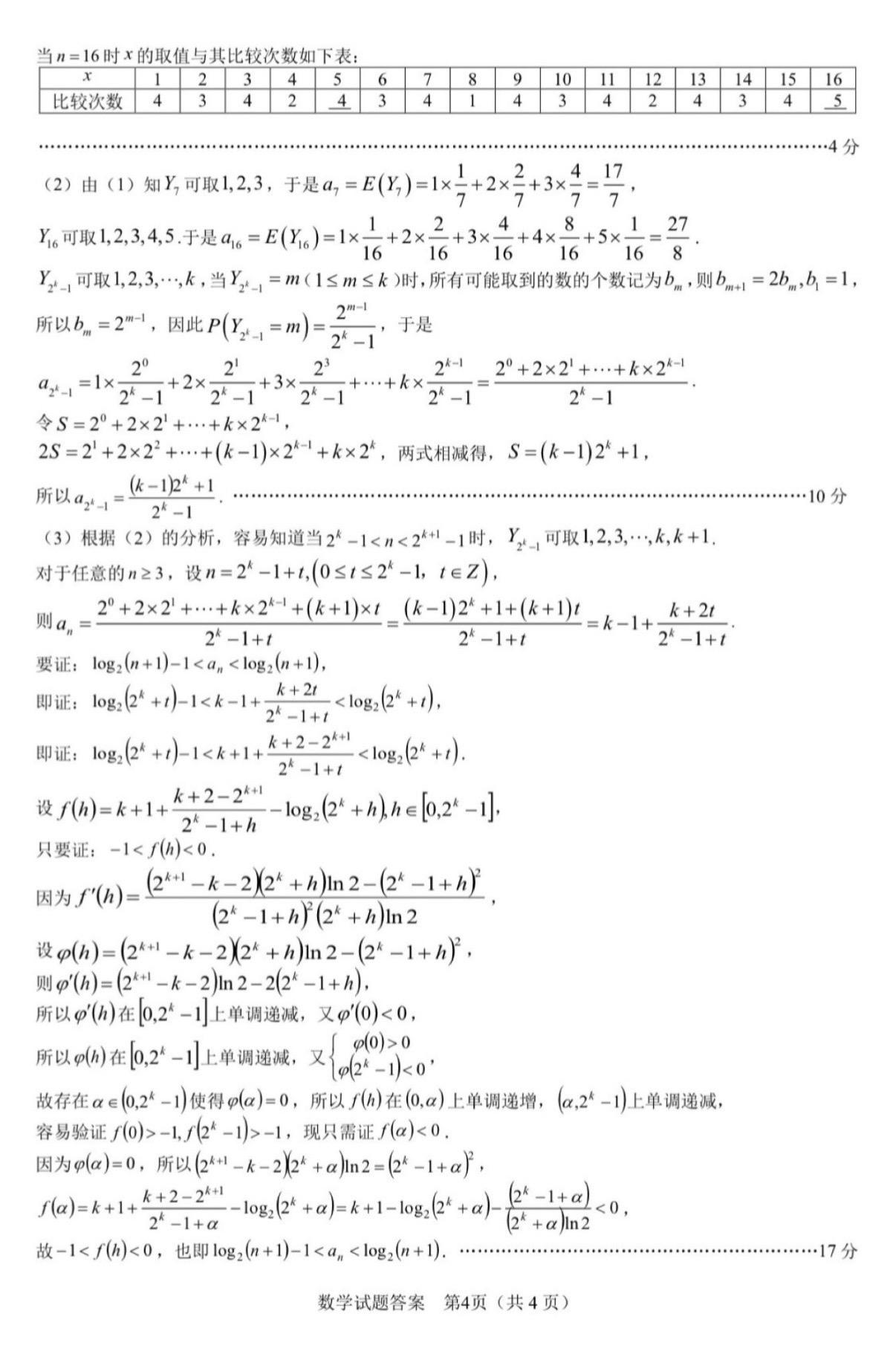
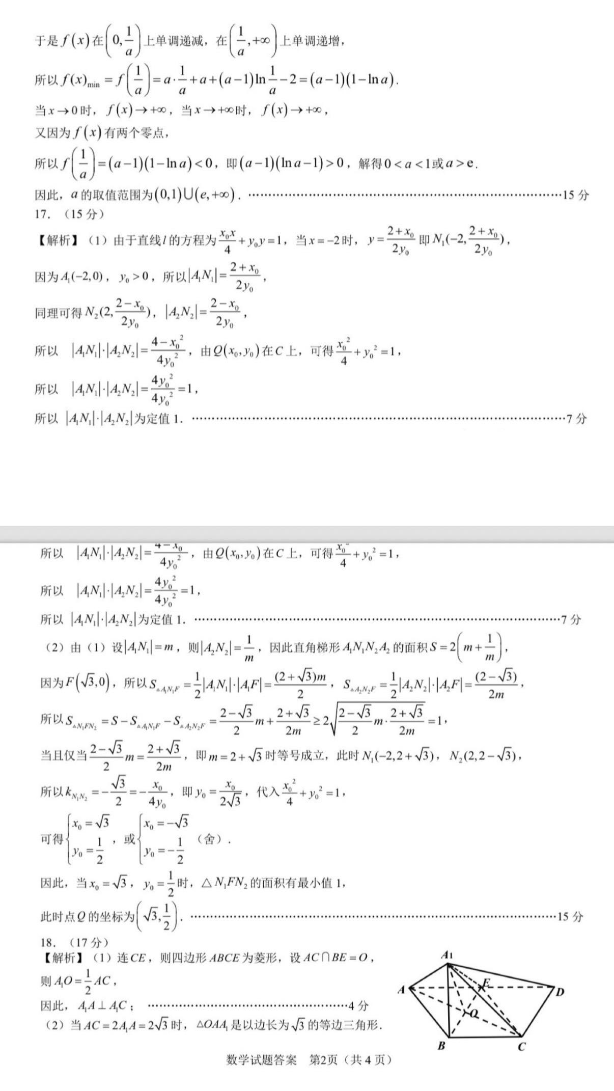
合肥市2026届高三二模数学试卷及答案,这次大题比较另类,概率、导数、圆锥三座大山居然放在前三题,倒数第二题立体几何与导数综合,压轴大题以二分法为背景的数列与函数综合题!
猜你喜欢
这数学是体育老师教的?600美元降到10美元,搁这玩“百分比魔术”呢?合着降价幅
2026-04-24
西野呼啸鹰鸣
标签:
魔术
数学
我家儿子写的试卷,能考985不
2026-04-18
绮波谈事
标签:
金光闪
语文老师:我要验π数学老师:π没有问题
2026-04-16
清澈的爱照耀你
标签:
数学
语文
有没有发现,学不好物理的文科生,很多数学学的并不差?1、高中数学难在高分段的提
2026-04-21
不爱说话的山芋
标签:
物理
高中数学
化学
发现这份数学题目特别适合初中数学基础薄弱的学生,题目很基础,完全没有偏难怪题,内
2026-04-22
小虫数学
标签:
初中数学
进入高中你会发现,高中各学科的十大特征:1、火箭班一般是物化生组合,重点班
2026-03-31
飞兰谈课
标签:
物理
数学
火箭
学数学避坑|别瞎努力了,关键就2点先骂醒所有学数学内耗的学生:你学不好数学,不
2026-04-25
奔跑的督察员
标签:
数学
原来00后的高考也落幕了
2026-04-25
松评情感
标签:
00后
高考
热门分类
体育
NBA
国际足球
中国足球
亚洲杯
科比
综合体育
CBA
推荐
热榜
军事
社会
明星八卦
娱乐
财经
科技
汽车
历史
国际
游戏
动漫
公益
搞笑
商业
互联网
数码
房产
家居
时尚
科学探索
职场
育儿
股票
教育
影视
情感
热点
中国军情
武器
中国南海
投资
楼市
大咖秀
外汇
创业
风口
SUV
豪车
概念车
优惠
新能源
美国
欧洲
朝日韩
俄罗斯
孕期
街拍
恋爱攻略
婚姻
正能量