铭鸿体育资讯网
数学放大镜的文章
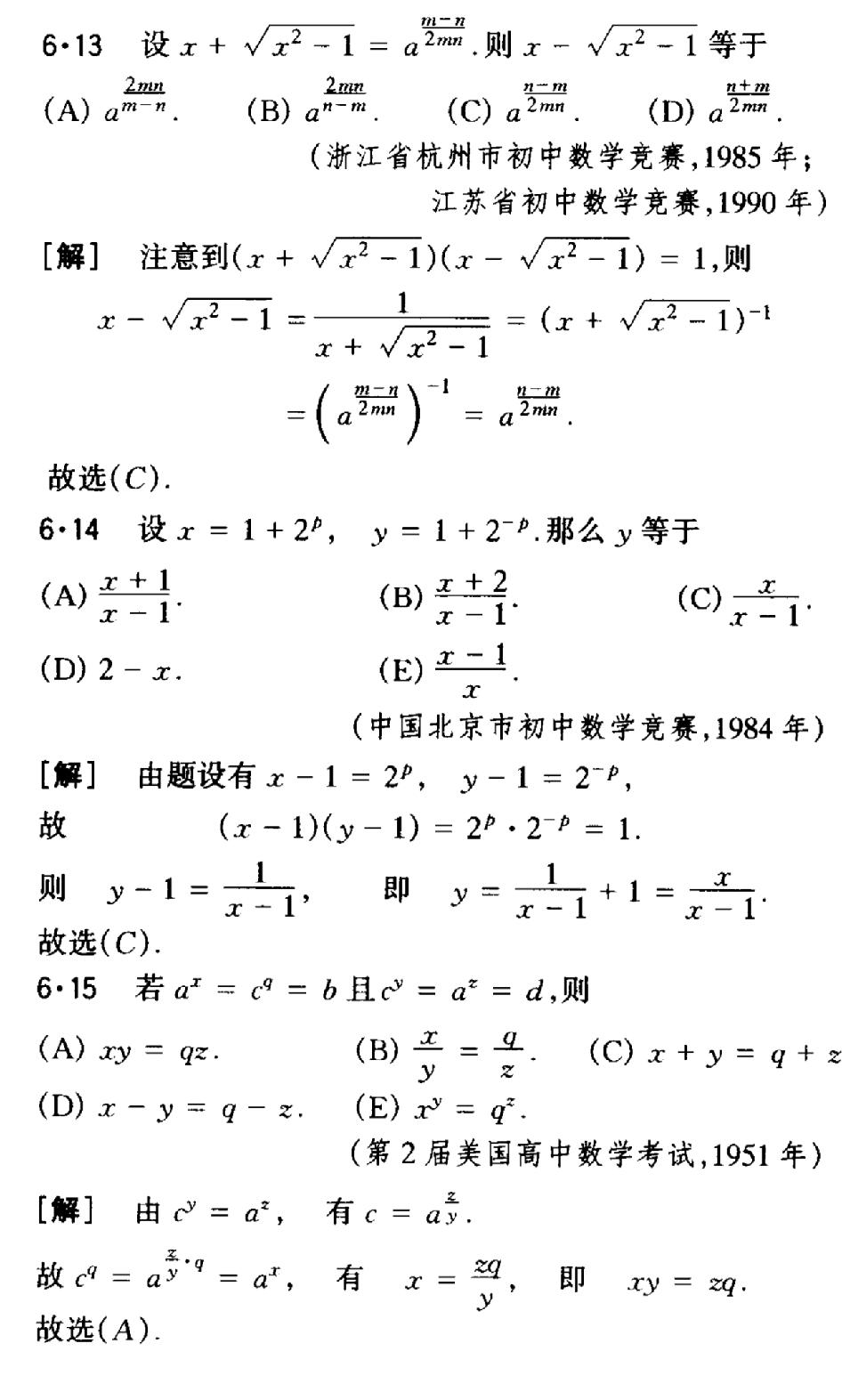
初中幂运算 必须熟练 最好能炉火纯青 因为到了高中 想数学好 变形这个能力只是标
2026-04-13 08:28
数学放大镜
初中幂运算 必须熟练 最好能炉火纯青 因为到了高中 想数学好 变形这个能力只是标
初中叛逆的孩子 只要能考上高中 有逆袭的机会 一般到高二会懂事成熟 愿意去顾及自
2026-04-12 23:04
数学放大镜
初中叛逆的孩子 只要能考上高中 有逆袭的机会 一般到高二会懂事成熟 愿意去顾及自
数学刷题最有效的 是找到适合的书 何谓适合 就是你会里面的40% 30%由学习例
2026-04-12 17:29
数学放大镜
数学刷题最有效的 是找到适合的书 何谓适合 就是你会里面的40% 30%由学习例
初一期中想满分 就练这份题 平时练难点 考试更轻松 能把压轴题秒杀 才叫实力
2026-04-12 13:15
数学放大镜
初一期中想满分 就练这份题 平时练难点 考试更轻松 能把压轴题秒杀 才叫实力
小学数学竞赛试题 二三四年级 每6页一个年级 前6页为二年级 中间6页三年级 最
2026-04-12 09:42
数学放大镜
小学数学竞赛试题 二三四年级 每6页一个年级 前6页为二年级 中间6页三年级 最
一年级YMO数学竞赛试题 发份小学低级的 看看是否有需要的 若有 可留言 有时间
2026-04-11 21:38
数学放大镜
一年级YMO数学竞赛试题 发份小学低级的 看看是否有需要的 若有 可留言 有时间
把题刷透 就要各种方法各刷几道 叫做基本面要覆盖 以下是初中分式化简刷题示例
2026-04-10 13:39
数学放大镜
把题刷透 就要各种方法各刷几道 叫做基本面要覆盖 以下是初中分式化简刷题示例
初中数学竞赛登高题 难度较大 初三的同学如果专注于中考 不建议练习 除非你有自招
2026-04-09 23:15
数学放大镜
初中数学竞赛登高题 难度较大 初三的同学如果专注于中考 不建议练习 除非你有自招
五年级YMO数竞试题 小学时间多 如果思维可以 就学点奥数
2026-04-09 15:47
数学放大镜
五年级YMO数竞试题 小学时间多 如果思维可以 就学点奥数
为什么初中成绩衡量不了高中 举个例子你就明白了 初中的二次函数求最值 不少同学觉
2026-04-08 23:52
数学放大镜
为什么初中成绩衡量不了高中 举个例子你就明白了 初中的二次函数求最值 不少同学觉
六年级YMO数学竞赛真题 适合小学奥数同学练手 浅奥练思维 对以后有莫大的帮助
2026-04-08 17:42
数学放大镜
六年级YMO数学竞赛真题 适合小学奥数同学练手 浅奥练思维 对以后有莫大的帮助
初三如果现在数学五六十分(满120) 听我一句劝 按照以下方法突击 每天通过例题
2026-04-08 01:56
数学放大镜
初三如果现在数学五六十分(满120) 听我一句劝 按照以下方法突击 每天通过例题
初中生提前学高中数学 我建议选不等式 初中的不等式太简单 不但均值不等式都不作要
2026-04-07 20:09
数学放大镜
初中生提前学高中数学 我建议选不等式 初中的不等式太简单 不但均值不等式都不作要
中考只有一次 万一考失手怎么办 如果你成绩一般 答案是没得办 如果你是优生 其实
2026-04-04 22:13
数学放大镜
中考只有一次 万一考失手怎么办 如果你成绩一般 答案是没得办 如果你是优生 其实
我推的书不多 《初中数学题型方法全归纳》是我常推的 因为它足够好 真正的全归纳
2026-04-04 20:16
数学放大镜
我推的书不多 《初中数学题型方法全归纳》是我常推的 因为它足够好 真正的全归纳
第一页
作者信息
数学放大镜
感谢大家的关注
分类: 生活
热门分类
体育
NBA
国际足球
中国足球
亚洲杯
科比
综合体育
CBA
推荐
热榜
军事
社会
明星八卦
娱乐
财经
科技
汽车
历史
国际
游戏
动漫
公益
搞笑
商业
互联网
数码
房产
家居
时尚
科学探索
职场
育儿
股票
教育
影视
情感
热点
中国军情
武器
中国南海
投资
楼市
大咖秀
外汇
创业
风口
SUV
豪车
概念车
优惠
新能源
美国
欧洲
朝日韩
俄罗斯
孕期
街拍
恋爱攻略
婚姻
正能量